Dung dịch X gồm Al2(SO4)3 0,75M và H2SO4 0,75M. Cho V1 ml dung dịch KOH 1M vào 100 ml dung dịch X, thu
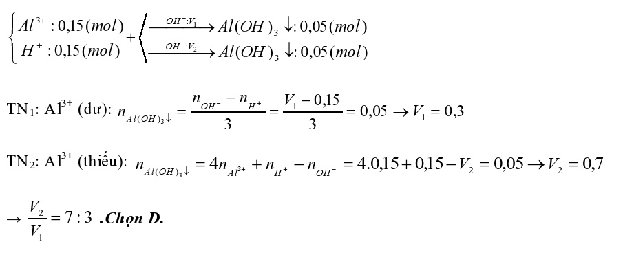
Dung dịch X gồm Al2(SO4)3 0,75M và H2SO4 0,75M. Cho V1 ml dung dịch KOH 1M vào 100 ml dung dịch X, thu được 3,9 gam kết tủa. Mặt khác, khi cho V2 ml dung dịch KOH 1M vào 100 ml dung dịch X cũng thu được 3,9 gam kết tủa. Biết các phản ứng xảy ra hoàn toàn. Tỉ lệ V2:V1 là
Đáp án đúng là: D
Quảng cáo
Đáp án cần chọn là: D
>> 2K9 Chú ý! Lộ Trình Sun 2027 - 1 lộ trình ôn đa kỳ thi (TN THPT, ĐGNL (Hà Nội/ Hồ Chí Minh), ĐGNL Sư Phạm, ĐGTD, ĐGNL Bộ Công an, ĐGNL Bộ Quốc phòngTD - Click xem ngay) tại Tuyensinh247.com. Cập nhật bám sát bộ SGK mới, Thầy Cô giáo giỏi, 3 bước chi tiết: Nền tảng lớp 12; Luyện thi chuyên sâu; Luyện đề đủ dạng đáp ứng mọi kì thi.
![]() |
![]() |
![]() |
![]() |
![]() |
![]() |
![]() |
![]() |
Hỗ trợ - Hướng dẫn
-
024.7300.7989
-
1800.6947
(Thời gian hỗ trợ từ 7h đến 22h)
Email: lienhe@tuyensinh247.com













