Cho m gam bột Fe vào 200 ml dung dịch chứa hai muối AgNO3 0,15M và Cu(NO3)2 0,1M, sau một thời gian thu
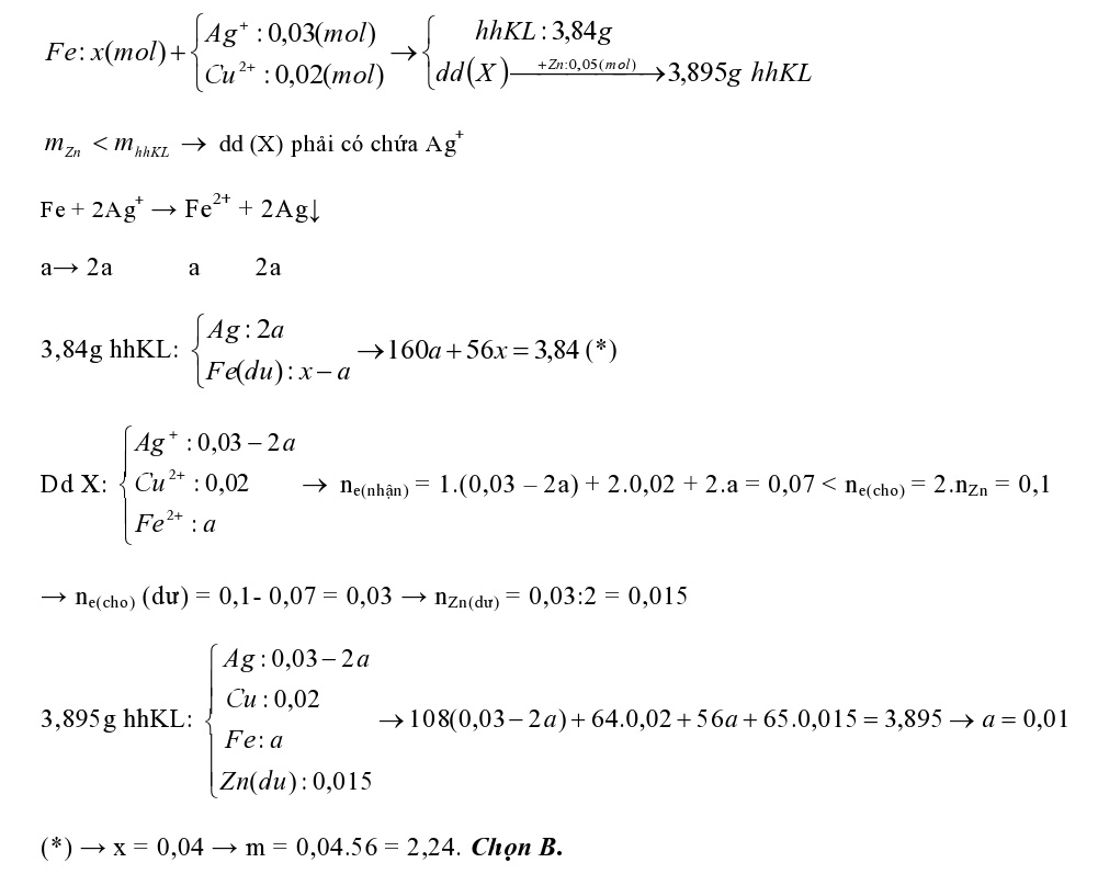
Cho m gam bột Fe vào 200 ml dung dịch chứa hai muối AgNO3 0,15M và Cu(NO3)2 0,1M, sau một thời gian thu được 3,84 gam hỗn hợp kim loại và dung dịch X. Cho 3,25 gam bột Zn vào dung dịch X, sau khi phản ứng xảy ra hoàn toàn, thu được 3,895 gam hỗn hợp kim loại và dung dịch Y. Giá trị của m là
Đáp án đúng là: B
Quảng cáo
Đáp án cần chọn là: B
>> 2K9 Chú ý! Lộ Trình Sun 2027 - 1 lộ trình ôn đa kỳ thi (TN THPT, ĐGNL (Hà Nội/ Hồ Chí Minh), ĐGNL Sư Phạm, ĐGTD, ĐGNL Bộ Công an, ĐGNL Bộ Quốc phòngTD - Click xem ngay) tại Tuyensinh247.com. Cập nhật bám sát bộ SGK mới, Thầy Cô giáo giỏi, 3 bước chi tiết: Nền tảng lớp 12; Luyện thi chuyên sâu; Luyện đề đủ dạng đáp ứng mọi kì thi.
![]() |
![]() |
![]() |
![]() |
![]() |
![]() |
![]() |
![]() |
Hỗ trợ - Hướng dẫn
-
024.7300.7989
-
1800.6947
(Thời gian hỗ trợ từ 7h đến 22h)
Email: lienhe@tuyensinh247.com













