Một con lắc đơn có chiều dài dây treo 50 cm và vật nhỏ có khối lượng 0,01 kg mang
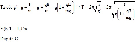
Một con lắc đơn có chiều dài dây treo 50 cm và vật nhỏ có khối lượng 0,01 kg mang điện tích q = +5.10-6C được coi là điện tích điểm. Con lắc dao động điều hoà trong điện trường đều mà vectơ cường độ điện trường có độ lớn E = 104V/m và hướng thẳng đứng xuống dưới. Lấy g = 10 m/s2, π = 3,14. Chu kì dao động điều hoà của con lắc là
Đáp án đúng là: C
Quảng cáo
Đáp án cần chọn là: C
>> 2K9 Chú ý! Lộ Trình Sun 2027 - 1 lộ trình ôn đa kỳ thi (TN THPT, ĐGNL (Hà Nội/ Hồ Chí Minh), ĐGNL Sư Phạm, ĐGTD, ĐGNL Bộ Công an, ĐGNL Bộ Quốc phòngTD - Click xem ngay) tại Tuyensinh247.com. Cập nhật bám sát bộ SGK mới, Thầy Cô giáo giỏi, 3 bước chi tiết: Nền tảng lớp 12; Luyện thi chuyên sâu; Luyện đề đủ dạng đáp ứng mọi kì thi.
![]() |
![]() |
![]() |
![]() |
![]() |
![]() |
![]() |
![]() |
Hỗ trợ - Hướng dẫn
-
024.7300.7989
-
1800.6947
(Thời gian hỗ trợ từ 7h đến 22h)
Email: lienhe@tuyensinh247.com













