Một chất điểm dao động điều hòa trên trục Ox. Trong thời gian 31,4 s chất điểm thực hiện
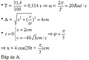
Một chất điểm dao động điều hòa trên trục Ox. Trong thời gian 31,4 s chất điểm thực hiện được 100 dao động toàn phần. Gốc thời gian là lúc chất điểm đi qua vị trí có li độ 2 cm theo chiều âm với tốc độ là 40√3 cm/s. Lấy π = 3,14. Phương trình dao động của chất điểm là
Đáp án đúng là: A
Quảng cáo
Đáp án cần chọn là: A
>> 2K9 Chú ý! Lộ Trình Sun 2027 - 1 lộ trình ôn đa kỳ thi (TN THPT, ĐGNL (Hà Nội/ Hồ Chí Minh), ĐGNL Sư Phạm, ĐGTD, ĐGNL Bộ Công an, ĐGNL Bộ Quốc phòngTD - Click xem ngay) tại Tuyensinh247.com. Cập nhật bám sát bộ SGK mới, Thầy Cô giáo giỏi, 3 bước chi tiết: Nền tảng lớp 12; Luyện thi chuyên sâu; Luyện đề đủ dạng đáp ứng mọi kì thi.
![]() |
![]() |
![]() |
![]() |
![]() |
![]() |
![]() |
![]() |
Hỗ trợ - Hướng dẫn
-
024.7300.7989
-
1800.6947
(Thời gian hỗ trợ từ 7h đến 22h)
Email: lienhe@tuyensinh247.com













