Một sóng cơ có chu kì 0,3s lan truyền từ nguồn O, dọc theo trục Ox với biên độ sóng không
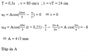
Một sóng cơ có chu kì 0,3s lan truyền từ nguồn O, dọc theo trục Ox với biên độ sóng không đổi và tốc độ truyền sóng 80cm/s. Biết rằng tại thời điểm t, phần tử tại O qua vị trí cân bằng theo chiều dương, sau thời điểm đó một khoảng thời gian 0,25s, phần tử tại điểm M cách O một đoạn 4cm có li độ là – 6 mm. Biên độ của sóng là:
Đáp án đúng là: A
Quảng cáo
Đáp án cần chọn là: A
>> 2K9 Chú ý! Lộ Trình Sun 2027 - 1 lộ trình ôn đa kỳ thi (TN THPT, ĐGNL (Hà Nội/ Hồ Chí Minh), ĐGNL Sư Phạm, ĐGTD, ĐGNL Bộ Công an, ĐGNL Bộ Quốc phòngTD - Click xem ngay) tại Tuyensinh247.com. Cập nhật bám sát bộ SGK mới, Thầy Cô giáo giỏi, 3 bước chi tiết: Nền tảng lớp 12; Luyện thi chuyên sâu; Luyện đề đủ dạng đáp ứng mọi kì thi.
![]() |
![]() |
![]() |
![]() |
![]() |
![]() |
![]() |
![]() |
Hỗ trợ - Hướng dẫn
-
024.7300.7989
-
1800.6947
(Thời gian hỗ trợ từ 7h đến 22h)
Email: lienhe@tuyensinh247.com













