Cho mạch điện không phân nhánh RLC: R = 60Ω, cuộn dây thuần cảm có L = 0,2/ π H tụ điện có C=
Cho mạch điện không phân nhánh RLC: R = 60Ω, cuộn dây thuần cảm có L = 0,2/ π H tụ điện có C=
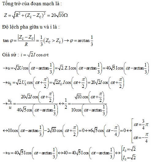
, tần số dòng điện 50Hz. Tại thời điểm t , hiệu điện thế tức thời hai đầu cuộn dây và hai đầu đoạn mạch có giá trị lần lượt là: uL=20V,u=40V. Dòng điện tức thời trong mạch có giá trị cực đại I0 là
Đáp án đúng là: A
Quảng cáo
Đáp án cần chọn là: A
>> 2K9 Chú ý! Lộ Trình Sun 2027 - 1 lộ trình ôn đa kỳ thi (TN THPT, ĐGNL (Hà Nội/ Hồ Chí Minh), ĐGNL Sư Phạm, ĐGTD, ĐGNL Bộ Công an, ĐGNL Bộ Quốc phòngTD - Click xem ngay) tại Tuyensinh247.com. Cập nhật bám sát bộ SGK mới, Thầy Cô giáo giỏi, 3 bước chi tiết: Nền tảng lớp 12; Luyện thi chuyên sâu; Luyện đề đủ dạng đáp ứng mọi kì thi.
![]() |
![]() |
![]() |
![]() |
![]() |
![]() |
![]() |
![]() |
Hỗ trợ - Hướng dẫn
-
024.7300.7989
-
1800.6947
(Thời gian hỗ trợ từ 7h đến 22h)
Email: lienhe@tuyensinh247.com













