Con lắc lò xo nằm ngang, vật nặng có khối lượng m=100g độ cứng của lò xo 160N/m; π2 = 10 = g.
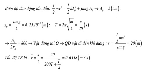
Con lắc lò xo nằm ngang, vật nặng có khối lượng m=100g độ cứng của lò xo 160N/m; π2 = 10 = g. Khi vật ở vị trí cân bằng ta truyền vận tốc 2m/s dọc trục lò xo, do có ma sát giữa vật và sàn ngang với hệ số ma sát μ = 0,01 mà vật dao động tắt dần. Tìm tốc độ trung bình trong cả quá trình dao động
Đáp án đúng là: B
Quảng cáo
Đáp án cần chọn là: B
>> 2K9 Chú ý! Lộ Trình Sun 2027 - 1 lộ trình ôn đa kỳ thi (TN THPT, ĐGNL (Hà Nội/ Hồ Chí Minh), ĐGNL Sư Phạm, ĐGTD, ĐGNL Bộ Công an, ĐGNL Bộ Quốc phòngTD - Click xem ngay) tại Tuyensinh247.com. Cập nhật bám sát bộ SGK mới, Thầy Cô giáo giỏi, 3 bước chi tiết: Nền tảng lớp 12; Luyện thi chuyên sâu; Luyện đề đủ dạng đáp ứng mọi kì thi.
![]() |
![]() |
![]() |
![]() |
![]() |
![]() |
![]() |
![]() |
Hỗ trợ - Hướng dẫn
-
024.7300.7989
-
1800.6947
(Thời gian hỗ trợ từ 7h đến 22h)
Email: lienhe@tuyensinh247.com













