Cho mạch điện xoay chiều RLC mắc nối tiếp,trong đó L là cuộn dây thuần cảm và có thể thay
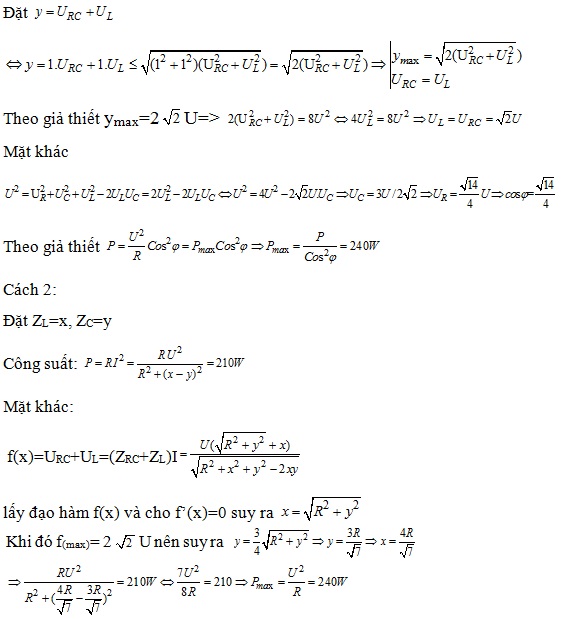
Cho mạch điện xoay chiều RLC mắc nối tiếp,trong đó L là cuộn dây thuần cảm và có thể thay đổiđược. Đặt vào hai đầu mạch một điện áp có giá trị hiệu dụng U và tần số f không đổi. Điều chỉnh giá trị L để tổng điện áp hiệu dụng URC+UL lớn nhất thì tổng đó bằng 2U và khi đó công suất tiêu thụ của mạch là 210W. Hỏi khi điều chỉnh L để công suất tiêu thụ trong mạch lớn nhất thì công suất lớn nhất đó bằng bao nhiêu
Đáp án đúng là: B
Quảng cáo
Đáp án cần chọn là: B
>> 2K8 Chú ý! Lộ Trình Sun 2026 - 3IN1 - 1 lộ trình ôn 3 kì thi (Luyện thi 26+ TN THPT, 90+ ĐGNL HN, 900+ ĐGNL HCM, 70+ ĐGTD - Click xem ngay) tại Tuyensinh247.com.Đầy đủ theo 3 đầu sách, Thầy Cô giáo giỏi, luyện thi theo 3 giai đoạn: Nền tảng lớp 12, Luyện thi chuyên sâu, Luyện đề đủ dạng đáp ứng mọi kì thi.
![]() |
![]() |
![]() |
![]() |
![]() |
![]() |
![]() |
![]() |
Hỗ trợ - Hướng dẫn
-
024.7300.7989
-
1800.6947
(Thời gian hỗ trợ từ 7h đến 22h)
Email: lienhe@tuyensinh247.com













