Trên mặt thoáng của chất lỏng có hai nguồn kết hợp A, B có phương trình dao động là uA = uB =
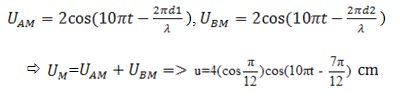
Trên mặt thoáng của chất lỏng có hai nguồn kết hợp A, B có phương trình dao động là uA = uB = 2cos10t(cm). Vận tốc truyền sóng là 3m/s. Viết phương trình dao động sóng tại M cách A, B một khoảng lần lượt là d1 = 15cm; d2 = 20cm
Đáp án đúng là: A
Quảng cáo
Đáp án cần chọn là: A
>> 2K9 Chú ý! Lộ Trình Sun 2027 - 1 lộ trình ôn đa kỳ thi (TN THPT, ĐGNL (Hà Nội/ Hồ Chí Minh), ĐGNL Sư Phạm, ĐGTD, ĐGNL Bộ Công an, ĐGNL Bộ Quốc phòngTD - Click xem ngay) tại Tuyensinh247.com. Cập nhật bám sát bộ SGK mới, Thầy Cô giáo giỏi, 3 bước chi tiết: Nền tảng lớp 12; Luyện thi chuyên sâu; Luyện đề đủ dạng đáp ứng mọi kì thi.
![]() |
![]() |
![]() |
![]() |
![]() |
![]() |
![]() |
![]() |
Hỗ trợ - Hướng dẫn
-
024.7300.7989
-
1800.6947
(Thời gian hỗ trợ từ 7h đến 22h)
Email: lienhe@tuyensinh247.com













