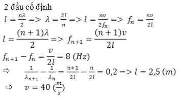
Cho sợi dây AB hai đầu cố định có chiều dài ℓ. Kích thích dây dao động với tần số fn thì
Cho sợi dây AB hai đầu cố định có chiều dài ℓ. Kích thích dây dao động với tần số fn thì trên dây hình thành sóng dừng với bước sóng λn (n thuộc số tự nhiên khác không). Biết fn+1- fn=8 Hz và
Tốc độ truyền sóng trên dây và chiều dài ℓ lần lượt bằng
Đáp án đúng là: D
Quảng cáo
Đáp án cần chọn là: D
>> 2K9 Chú ý! Lộ Trình Sun 2027 - 1 lộ trình ôn đa kỳ thi (TN THPT, ĐGNL (Hà Nội/ Hồ Chí Minh), ĐGNL Sư Phạm, ĐGTD, ĐGNL Bộ Công an, ĐGNL Bộ Quốc phòngTD - Click xem ngay) tại Tuyensinh247.com. Cập nhật bám sát bộ SGK mới, Thầy Cô giáo giỏi, 3 bước chi tiết: Nền tảng lớp 12; Luyện thi chuyên sâu; Luyện đề đủ dạng đáp ứng mọi kì thi.
![]() |
![]() |
![]() |
![]() |
![]() |
![]() |
![]() |
![]() |
Hỗ trợ - Hướng dẫn
-
024.7300.7989
-
1800.6947
(Thời gian hỗ trợ từ 7h đến 22h)
Email: lienhe@tuyensinh247.com













