Mạch xoay chiều gồm điện trở thuần R, cuộn dây thuần cảm có độ tự cảm L, tụ điện có
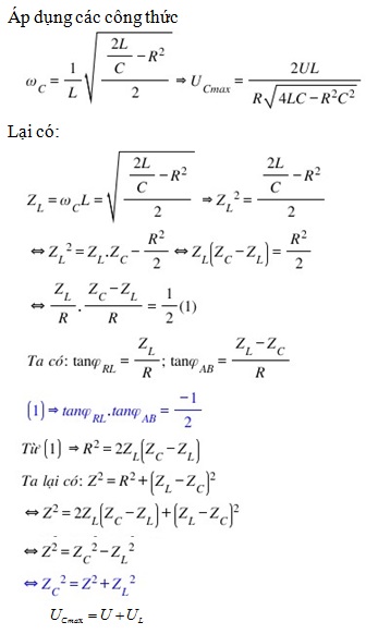
Mạch xoay chiều gồm điện trở thuần R, cuộn dây thuần cảm có độ tự cảm L, tụ điện có điện dung C mắc nối tiếp. Đặt vào hai đầu mạch một điện áp xoay chiều u = UÖ2coswt (V) (trong đó U không đổi, w thay đổi được). Điều chỉnh w để điện áp hiệu dụng giữa hai bản tụ điện cực đại và giá trị cực đại là Ucmax , khi đó điện áp hiệu dụng hai đầu cuộn cảm thuần là UL. Ta có hệ thức sau
Đáp án đúng là: A
Quảng cáo
Đáp án cần chọn là: A
>> 2K9 Chú ý! Lộ Trình Sun 2027 - 1 lộ trình ôn đa kỳ thi (TN THPT, ĐGNL (Hà Nội/ Hồ Chí Minh), ĐGNL Sư Phạm, ĐGTD, ĐGNL Bộ Công an, ĐGNL Bộ Quốc phòngTD - Click xem ngay) tại Tuyensinh247.com. Cập nhật bám sát bộ SGK mới, Thầy Cô giáo giỏi, 3 bước chi tiết: Nền tảng lớp 12; Luyện thi chuyên sâu; Luyện đề đủ dạng đáp ứng mọi kì thi.
![]() |
![]() |
![]() |
![]() |
![]() |
![]() |
![]() |
![]() |
Hỗ trợ - Hướng dẫn
-
024.7300.7989
-
1800.6947
(Thời gian hỗ trợ từ 7h đến 22h)
Email: lienhe@tuyensinh247.com













