Đặt điện áp xoay chiều có giá trị hiệu dụng không đổi vào mạch RLC nối tiếp, tần số
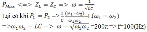
Đặt điện áp xoay chiều có giá trị hiệu dụng không đổi vào mạch RLC nối tiếp, tần số thay đổi được. Khi f1 = 50Hz và f2 = 200Hz thì công suất của mạch có giá trị bằng nhau và nhỏ hơn giá trị cực đại. Giá trị của tần số để công suất của mạch có giá trị cực đại là
Đáp án đúng là: D
Quảng cáo
Đáp án cần chọn là: D
>> 2K9 Chú ý! Lộ Trình Sun 2027 - 1 lộ trình ôn đa kỳ thi (TN THPT, ĐGNL (Hà Nội/ Hồ Chí Minh), ĐGNL Sư Phạm, ĐGTD, ĐGNL Bộ Công an, ĐGNL Bộ Quốc phòngTD - Click xem ngay) tại Tuyensinh247.com. Cập nhật bám sát bộ SGK mới, Thầy Cô giáo giỏi, 3 bước chi tiết: Nền tảng lớp 12; Luyện thi chuyên sâu; Luyện đề đủ dạng đáp ứng mọi kì thi.
![]() |
![]() |
![]() |
![]() |
![]() |
![]() |
![]() |
![]() |
Hỗ trợ - Hướng dẫn
-
024.7300.7989
-
1800.6947
(Thời gian hỗ trợ từ 7h đến 22h)
Email: lienhe@tuyensinh247.com













