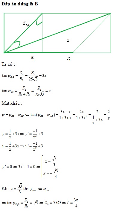
Đặt điện áp xoay chiều: (V) vào hai đầu đoạn mạch nối tiếp R1 và R2 và cuộn thuần cảm
Đặt điện áp xoay chiều:
(V) vào hai đầu đoạn mạch nối tiếp R1 và R2 và cuộn thuần cảm có độ tự cảm L thay đổi được. Biết R1=2R2 = 50
. Điều chỉnh giá trị của L cho đến khi hiệu điện thế tức thời giữa 2 đầu đoạn mạch chứa R2 và L lệch pha cực đại so với hiệu điện hai đầu đoạn mạch. Gía trị của độ tự cảm L lúc đó là:
Đáp án đúng là: B
Quảng cáo
Đáp án cần chọn là: B
>> 2K9 Chú ý! Lộ Trình Sun 2027 - 1 lộ trình ôn đa kỳ thi (TN THPT, ĐGNL (Hà Nội/ Hồ Chí Minh), ĐGNL Sư Phạm, ĐGTD, ĐGNL Bộ Công an, ĐGNL Bộ Quốc phòngTD - Click xem ngay) tại Tuyensinh247.com. Cập nhật bám sát bộ SGK mới, Thầy Cô giáo giỏi, 3 bước chi tiết: Nền tảng lớp 12; Luyện thi chuyên sâu; Luyện đề đủ dạng đáp ứng mọi kì thi.
![]() |
![]() |
![]() |
![]() |
![]() |
![]() |
![]() |
![]() |
Hỗ trợ - Hướng dẫn
-
024.7300.7989
-
1800.6947
(Thời gian hỗ trợ từ 7h đến 22h)
Email: lienhe@tuyensinh247.com













