Để đo vận tốc truyền âm trong không khí người ta dùng một thoa đặt ở khe thổi của một
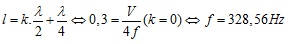
Để đo vận tốc truyền âm trong không khí người ta dùng một thoa đặt ở khe thổi của một ống sáo dọc và bịt tất cả các lỗ nối âm của ống sáo. Khoảng cách từ khe thổi đến đầu hở của ống sáo là 30cm. Cho tần số âm thoa tăng đều từ 0HZ thì tần số âm thoa là 273,8 Hz người ta nhận thất âm phát ra có cường độ mạnh nhất. tính vận tốc truyền âm của không khí
Đáp án đúng là: D
Quảng cáo
Đáp án cần chọn là: D
>> 2K9 Chú ý! Lộ Trình Sun 2027 - 1 lộ trình ôn đa kỳ thi (TN THPT, ĐGNL (Hà Nội/ Hồ Chí Minh), ĐGNL Sư Phạm, ĐGTD, ĐGNL Bộ Công an, ĐGNL Bộ Quốc phòngTD - Click xem ngay) tại Tuyensinh247.com. Cập nhật bám sát bộ SGK mới, Thầy Cô giáo giỏi, 3 bước chi tiết: Nền tảng lớp 12; Luyện thi chuyên sâu; Luyện đề đủ dạng đáp ứng mọi kì thi.
![]() |
![]() |
![]() |
![]() |
![]() |
![]() |
![]() |
![]() |
Hỗ trợ - Hướng dẫn
-
024.7300.7989
-
1800.6947
(Thời gian hỗ trợ từ 7h đến 22h)
Email: lienhe@tuyensinh247.com












