Ba con lắc lò xo 1, 2, 3 đặt thẳng đứng cách đều nhau theo thứ tự 1, 2, 3. Vị trí cân bằng
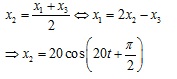
Ba con lắc lò xo 1, 2, 3 đặt thẳng đứng cách đều nhau theo thứ tự 1, 2, 3. Vị trí cân bằng của ba vật cùng nằm trên một đường thẳng. Chọn trục Ox có phương thẳng đứng, gốc tọa độ ở vị trí cân bằng thì phương trình dao động lần lượt là 
. Để ba vật dao động của ba con lắc luôn nằm trên một đường thẳng thì:
Đáp án đúng là: C
Quảng cáo
Đáp án cần chọn là: C
>> 2K9 Chú ý! Lộ Trình Sun 2027 - 1 lộ trình ôn đa kỳ thi (TN THPT, ĐGNL (Hà Nội/ Hồ Chí Minh), ĐGNL Sư Phạm, ĐGTD, ĐGNL Bộ Công an, ĐGNL Bộ Quốc phòngTD - Click xem ngay) tại Tuyensinh247.com. Cập nhật bám sát bộ SGK mới, Thầy Cô giáo giỏi, 3 bước chi tiết: Nền tảng lớp 12; Luyện thi chuyên sâu; Luyện đề đủ dạng đáp ứng mọi kì thi.
![]() |
![]() |
![]() |
![]() |
![]() |
![]() |
![]() |
![]() |
Hỗ trợ - Hướng dẫn
-
024.7300.7989
-
1800.6947
(Thời gian hỗ trợ từ 7h đến 22h)
Email: lienhe@tuyensinh247.com













