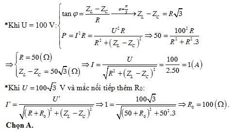
Đặt điện áp vào hai đầu đoạn mạch AB gồm cuộn dây và tụ điện mắc nối tiếp thì công
Đặt điện áp
vào hai đầu đoạn mạch AB gồm cuộn dây và tụ điện mắc nối tiếp thì công suất tiêu thụ của đoạn mạch AB là 50 W và uAB sớm pha
so với i. Đặt điện áp
(V) vào hai đầu đoạn mạch AB, muốn cường độ hiệu dụng qua mạch không thay đổi thì phải mắc nối tiếp thêm vào mạch điện trở R0 có giá trị là
Đáp án đúng là: A
Quảng cáo
Đáp án cần chọn là: A
>> 2K9 Chú ý! Lộ Trình Sun 2027 - 1 lộ trình ôn đa kỳ thi (TN THPT, ĐGNL (Hà Nội/ Hồ Chí Minh), ĐGNL Sư Phạm, ĐGTD, ĐGNL Bộ Công an, ĐGNL Bộ Quốc phòngTD - Click xem ngay) tại Tuyensinh247.com. Cập nhật bám sát bộ SGK mới, Thầy Cô giáo giỏi, 3 bước chi tiết: Nền tảng lớp 12; Luyện thi chuyên sâu; Luyện đề đủ dạng đáp ứng mọi kì thi.
![]() |
![]() |
![]() |
![]() |
![]() |
![]() |
![]() |
![]() |
Hỗ trợ - Hướng dẫn
-
024.7300.7989
-
1800.6947
(Thời gian hỗ trợ từ 7h đến 22h)
Email: lienhe@tuyensinh247.com













