Cho 3 dao động điều hòa cùng phương cùng tần số có phương trình lần lượt là x1 = A1cos(ωt +
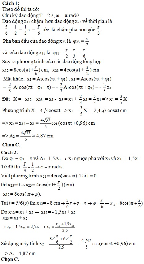
Cho 3 dao động điều hòa cùng phương cùng tần số có phương trình lần lượt là x1 = A1cos(ωt + φ1), x2 = A2cos(ωt + φ2) và x3 = A3cos(ωt + φ3). Biết A1 = 1,5A3 ; φ3 – φ1 = π. Gọi x12 = x1 + x2 là dao động tổng hợp của dao động thứ nhất và dao động thứ hai; x23 = x2 + x3 là dao động tổng hợp của dao động thứ hai và dao động thứ ba. Đồ thị biểu diễn sự phụ thuộc vào thời gian của li độ hai dao động tổng hợp trên như hình vẽ. Giá trị của A2 là

Đáp án đúng là: C
Quảng cáo
Đáp án cần chọn là: C
>> 2K9 Chú ý! Lộ Trình Sun 2027 - 1 lộ trình ôn đa kỳ thi (TN THPT, ĐGNL (Hà Nội/ Hồ Chí Minh), ĐGNL Sư Phạm, ĐGTD, ĐGNL Bộ Công an, ĐGNL Bộ Quốc phòngTD - Click xem ngay) tại Tuyensinh247.com. Cập nhật bám sát bộ SGK mới, Thầy Cô giáo giỏi, 3 bước chi tiết: Nền tảng lớp 12; Luyện thi chuyên sâu; Luyện đề đủ dạng đáp ứng mọi kì thi.
![]() |
![]() |
![]() |
![]() |
![]() |
![]() |
![]() |
![]() |
Hỗ trợ - Hướng dẫn
-
024.7300.7989
-
1800.6947
(Thời gian hỗ trợ từ 7h đến 22h)
Email: lienhe@tuyensinh247.com













