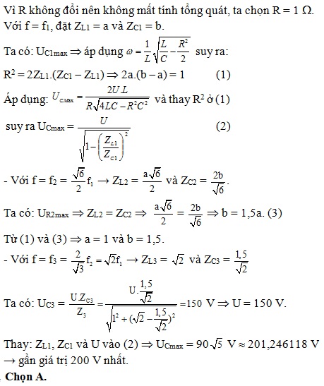
Đặt điện áp xoay chiều có giá trị hiệu dụng không đổi, tần số thay đổi được vào hai
Đặt điện áp xoay chiều có giá trị hiệu dụng không đổi, tần số thay đổi được vào hai đầu đoạn mạch gồm điện trở R, cuộn cảm thuần có độ tự cảm L, tụ điện có điện dung C. Khi tần số là
thì điện áp hiệu dụng giữa hai đầu tụ điện đạt giá trị cực đại
. Khi tần số
thì điện áp hiệu dụng giữa hai đầu điện trở thuần đạt giá trị cực đại
. Khi tần số
thì điện áp hiệu dụng hai đầu tụ điện bằng 150 V. Giá trị
gần giá trị nào sau đây nhất sau đây ?
Đáp án đúng là: A
Quảng cáo
Đáp án cần chọn là: A
>> 2K9 Chú ý! Lộ Trình Sun 2027 - 1 lộ trình ôn đa kỳ thi (TN THPT, ĐGNL (Hà Nội/ Hồ Chí Minh), ĐGNL Sư Phạm, ĐGTD, ĐGNL Bộ Công an, ĐGNL Bộ Quốc phòngTD - Click xem ngay) tại Tuyensinh247.com. Cập nhật bám sát bộ SGK mới, Thầy Cô giáo giỏi, 3 bước chi tiết: Nền tảng lớp 12; Luyện thi chuyên sâu; Luyện đề đủ dạng đáp ứng mọi kì thi.
![]() |
![]() |
![]() |
![]() |
![]() |
![]() |
![]() |
![]() |
Hỗ trợ - Hướng dẫn
-
024.7300.7989
-
1800.6947
(Thời gian hỗ trợ từ 7h đến 22h)
Email: lienhe@tuyensinh247.com













