Một con lắc lò xo đặt trên mặt phẳng nằm ngang gồm lò xo nhẹ có độ cứng 2N/m và vật nhỏ
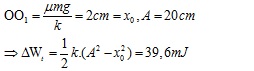
Một con lắc lò xo đặt trên mặt phẳng nằm ngang gồm lò xo nhẹ có độ cứng 2N/m và vật nhỏ khối lượng 40g. Hệ số ma sát trượt giữa vật và mặt phẳng ngang là 0,1. Ban đầu giữ vật ở vị trí lò xo bị giãn 20cm rồi buông nhẹ để con lắc dao động tắt dần . Lấy g=10m/s2 . Kể từ lúc đầu cho đến thời điểm tốc độ của vật bắt đầu giảm , thế năng của con lắc lò xo đã giảm một lượng bằng
Đáp án đúng là: A
Quảng cáo
Đáp án cần chọn là: A
>> 2K9 Chú ý! Lộ Trình Sun 2027 - 1 lộ trình ôn đa kỳ thi (TN THPT, ĐGNL (Hà Nội/ Hồ Chí Minh), ĐGNL Sư Phạm, ĐGTD, ĐGNL Bộ Công an, ĐGNL Bộ Quốc phòngTD - Click xem ngay) tại Tuyensinh247.com. Cập nhật bám sát bộ SGK mới, Thầy Cô giáo giỏi, 3 bước chi tiết: Nền tảng lớp 12; Luyện thi chuyên sâu; Luyện đề đủ dạng đáp ứng mọi kì thi.
![]() |
![]() |
![]() |
![]() |
![]() |
![]() |
![]() |
![]() |
Hỗ trợ - Hướng dẫn
-
024.7300.7989
-
1800.6947
(Thời gian hỗ trợ từ 7h đến 22h)
Email: lienhe@tuyensinh247.com














