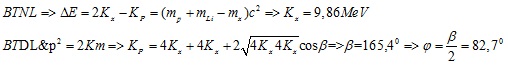
Cho photon có động năng Kp = 2,5MeV bắn vào hạt nhân đứng yên. Biết mp =1,0073u, mX=7,0142u,
Cho photon có động năng Kp = 2,5MeV bắn vào hạt nhân
đứng yên. Biết mp =1,0073u, mX=7,0142u, 1u=931,5 MeV/c2. Sau phản ứng xuất hiện hai hạt X giống nhau có cùng động năng và phương chuyển động hợp với phương chuyển động của photon một góc φ như nhau. Coi phản ứng không kèm bức xạ
. Giá trị của φ là:
Đáp án đúng là: A
Quảng cáo
Đáp án cần chọn là: A
>> 2K9 Chú ý! Lộ Trình Sun 2027 - 1 lộ trình ôn đa kỳ thi (TN THPT, ĐGNL (Hà Nội/ Hồ Chí Minh), ĐGNL Sư Phạm, ĐGTD, ĐGNL Bộ Công an, ĐGNL Bộ Quốc phòngTD - Click xem ngay) tại Tuyensinh247.com. Cập nhật bám sát bộ SGK mới, Thầy Cô giáo giỏi, 3 bước chi tiết: Nền tảng lớp 12; Luyện thi chuyên sâu; Luyện đề đủ dạng đáp ứng mọi kì thi.
![]() |
![]() |
![]() |
![]() |
![]() |
![]() |
![]() |
![]() |
Hỗ trợ - Hướng dẫn
-
024.7300.7989
-
1800.6947
(Thời gian hỗ trợ từ 7h đến 22h)
Email: lienhe@tuyensinh247.com













