Một con lắc lò xo dao động điều hòa theo phương thẳng đứng với chu kỳ 0,4s. Biết trong mỗi
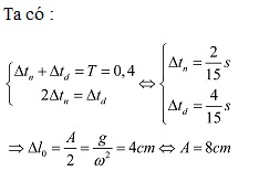
Một con lắc lò xo dao động điều hòa theo phương thẳng đứng với chu kỳ 0,4s. Biết trong mỗi chu kỳ dao động, thời gian lò xo bị giãn gấp 2 lần thời gian lò xo bị nén. Lấy g = π2 m/s2. Chiều dài quỹ đạo của vật nhỏ của con lắc là
Đáp án đúng là: D
Quảng cáo
Đáp án cần chọn là: D
>> 2K9 Chú ý! Lộ Trình Sun 2027 - 1 lộ trình ôn đa kỳ thi (TN THPT, ĐGNL (Hà Nội/ Hồ Chí Minh), ĐGNL Sư Phạm, ĐGTD, ĐGNL Bộ Công an, ĐGNL Bộ Quốc phòngTD - Click xem ngay) tại Tuyensinh247.com. Cập nhật bám sát bộ SGK mới, Thầy Cô giáo giỏi, 3 bước chi tiết: Nền tảng lớp 12; Luyện thi chuyên sâu; Luyện đề đủ dạng đáp ứng mọi kì thi.
![]() |
![]() |
![]() |
![]() |
![]() |
![]() |
![]() |
![]() |
Hỗ trợ - Hướng dẫn
-
024.7300.7989
-
1800.6947
(Thời gian hỗ trợ từ 7h đến 22h)
Email: lienhe@tuyensinh247.com













