Một máy phát điện xoay chiều một pha có roto là một nam châm điện có một cặp cực,quay đều
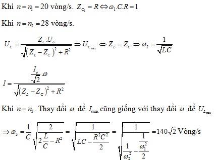
Một máy phát điện xoay chiều một pha có roto là một nam châm điện có một cặp cực,quay đều với tốc độ n (vòng/s). Một đoạn mạch RLC nối tiếp được mắc vào hai cực của máy. Khi roto quay với tốc độ n1 = 20 (vòng/s) thì dung kháng của tụ điện bằng R; khi rôto quay với tốc độ n2 = 28 (vòng/s) thì điện áp hiệu dụng ở hai đầu tụ điện đạt giá trị cực đại. Bỏ qua điện trở thuần ở các cuộn dây phần ứng. Để cường độ dòng điện hiệu dụng qua mạch đạt giá trị cực đại thì roto phải quay với tốc độ bằng:
Đáp án đúng là: B
Quảng cáo
Đáp án cần chọn là: B
>> 2K8 Chú ý! Lộ Trình Sun 2026 - 3IN1 - 1 lộ trình ôn 3 kì thi (Luyện thi 26+ TN THPT, 90+ ĐGNL HN, 900+ ĐGNL HCM, 70+ ĐGTD - Click xem ngay) tại Tuyensinh247.com.Đầy đủ theo 3 đầu sách, Thầy Cô giáo giỏi, luyện thi theo 3 giai đoạn: Nền tảng lớp 12, Luyện thi chuyên sâu, Luyện đề đủ dạng đáp ứng mọi kì thi.
![]() |
![]() |
![]() |
![]() |
![]() |
![]() |
![]() |
![]() |
Hỗ trợ - Hướng dẫn
-
024.7300.7989
-
1800.6947
(Thời gian hỗ trợ từ 7h đến 22h)
Email: lienhe@tuyensinh247.com













