Một vật dao động điều hòa trên trục Ox với chu kì 0,72 s. Khi vật qua vị trí cân bằng O, vật
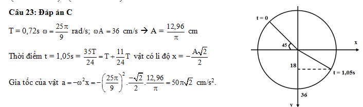
Một vật dao động điều hòa trên trục Ox với chu kì 0,72 s. Khi vật qua vị trí cân bằng O, vật có tốc độ 36 cm/s. Vào thời điểm t =1,05s, vật đang chuyển động chậm dần với tốc độ bằng +18 cm/s. Vào thời điểm t =0, vật có gia tốc:
Đáp án đúng là: C
Quảng cáo
Đáp án cần chọn là: C
>> 2K8 Chú ý! Lộ Trình Sun 2026 - 3IN1 - 1 lộ trình ôn 3 kì thi (Luyện thi 26+ TN THPT, 90+ ĐGNL HN, 900+ ĐGNL HCM, 70+ ĐGTD - Click xem ngay) tại Tuyensinh247.com.Đầy đủ theo 3 đầu sách, Thầy Cô giáo giỏi, luyện thi theo 3 giai đoạn: Nền tảng lớp 12, Luyện thi chuyên sâu, Luyện đề đủ dạng đáp ứng mọi kì thi.
![]() |
![]() |
![]() |
![]() |
![]() |
![]() |
![]() |
![]() |
Hỗ trợ - Hướng dẫn
-
024.7300.7989
-
1800.6947
(Thời gian hỗ trợ từ 7h đến 22h)
Email: lienhe@tuyensinh247.com












