Một con lắc đơn có chu kỳ 1 s trong vùng không có điện trường, quả lắc có khối lượng 10 gam
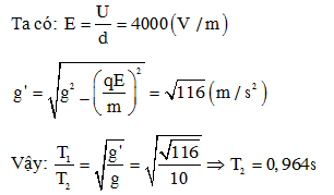
Một con lắc đơn có chu kỳ 1 s trong vùng không có điện trường, quả lắc có khối lượng 10 gam bằng kim loại mang điện tích 10-5 C. Con lắc được đem treo trong điện trường đều giữa hai bản kim loại phẳng song song mang điện tích trái dấu , đặt thẳng đứng, hiệu điện thế giữa hai bản bằng 400 V. Kích thước các bản kim loại rất lớn so với khoảng cách 10 cm giữa chúng. Chu kì con lắc khi dao động trong điện trường giữa hai bản kim loại trên là:
Đáp án đúng là: A
Quảng cáo
Đáp án cần chọn là: A
>> 2K8 Chú ý! Lộ Trình Sun 2026 - 3IN1 - 1 lộ trình ôn 3 kì thi (Luyện thi 26+ TN THPT, 90+ ĐGNL HN, 900+ ĐGNL HCM, 70+ ĐGTD - Click xem ngay) tại Tuyensinh247.com.Đầy đủ theo 3 đầu sách, Thầy Cô giáo giỏi, luyện thi theo 3 giai đoạn: Nền tảng lớp 12, Luyện thi chuyên sâu, Luyện đề đủ dạng đáp ứng mọi kì thi.
![]() |
![]() |
![]() |
![]() |
![]() |
![]() |
![]() |
![]() |
Hỗ trợ - Hướng dẫn
-
024.7300.7989
-
1800.6947
(Thời gian hỗ trợ từ 7h đến 22h)
Email: lienhe@tuyensinh247.com












