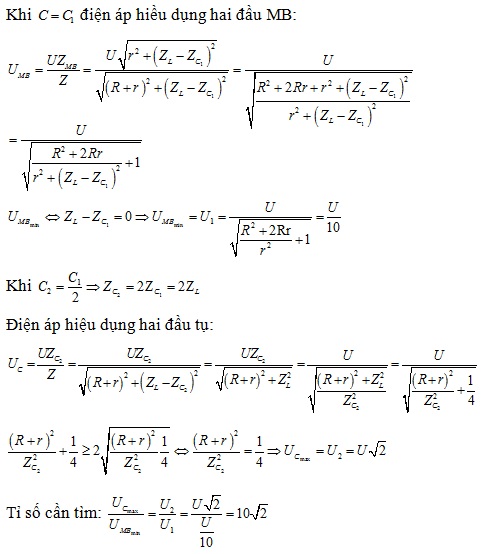
Đặt điện áp xoay chiều u = U0 (V) vào hai đầu đoạn mạch AB theo thứ tự gồm điện trở R =
Đặt điện áp xoay chiều u = U0
(V) vào hai đầu đoạn mạch AB theo thứ tự gồm điện trở R = 90Ω; cuộn dây không thuần cảm có r = 10Ω và tụ điện có điện dung C thay đổi được. M là điểm nối giữa R và cuộn dây. Khi C = C1 thì điện áp hiệu dụng hai đầu đoạn mạch MB đạt giá trị cực tiểu bằng U1; Khi C = C2 =
thì điện áp hiệu dụng trên tụ điện đạt giá trị cực đại bằng U2. Tỷ số
bằng:
Đáp án đúng là: C
Quảng cáo
Đáp án cần chọn là: C
>> 2K8 Chú ý! Lộ Trình Sun 2026 - 3IN1 - 1 lộ trình ôn 3 kì thi (Luyện thi 26+ TN THPT, 90+ ĐGNL HN, 900+ ĐGNL HCM, 70+ ĐGTD - Click xem ngay) tại Tuyensinh247.com.Đầy đủ theo 3 đầu sách, Thầy Cô giáo giỏi, luyện thi theo 3 giai đoạn: Nền tảng lớp 12, Luyện thi chuyên sâu, Luyện đề đủ dạng đáp ứng mọi kì thi.
![]() |
![]() |
![]() |
![]() |
![]() |
![]() |
![]() |
![]() |
Hỗ trợ - Hướng dẫn
-
024.7300.7989
-
1800.6947
(Thời gian hỗ trợ từ 7h đến 22h)
Email: lienhe@tuyensinh247.com













