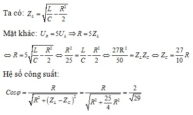
Cho đoạn mạch RLC nối tiếp (cuộn dây thuần cảm) với CR2 < 2L. Đặt vào hai đầu đoạn
Cho đoạn mạch RLC nối tiếp (cuộn dây thuần cảm) với CR2 < 2L. Đặt vào hai đầu đoạn mạch điện áp u = U0cosωt(V) với ω thay đổi được. Điều chỉnh ω để điện áp hiệu dụng giữa hai bản tụ đạt cực đại, khi đó điện áp hiệu dụng trên điện trở gấp 5 lần điện áp hiệu dụng trên cuộn dây. Hệ số công suất của đoạn mạch đó là :
Đáp án đúng là: B
Quảng cáo
Đáp án cần chọn là: B
>> 2K8 Chú ý! Lộ Trình Sun 2026 - 3IN1 - 1 lộ trình ôn 3 kì thi (Luyện thi 26+ TN THPT, 90+ ĐGNL HN, 900+ ĐGNL HCM, 70+ ĐGTD - Click xem ngay) tại Tuyensinh247.com.Đầy đủ theo 3 đầu sách, Thầy Cô giáo giỏi, luyện thi theo 3 giai đoạn: Nền tảng lớp 12, Luyện thi chuyên sâu, Luyện đề đủ dạng đáp ứng mọi kì thi.
![]() |
![]() |
![]() |
![]() |
![]() |
![]() |
![]() |
![]() |
Hỗ trợ - Hướng dẫn
-
024.7300.7989
-
1800.6947
(Thời gian hỗ trợ từ 7h đến 22h)
Email: lienhe@tuyensinh247.com













