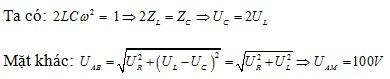
Đoạn mạch AB điện trở R, cuộn thuần cảm có độ tự cảm L và tụ điện có điện dung C
Đoạn mạch AB điện trở R, cuộn thuần cảm có độ tự cảm L và tụ điện có điện dung C mắc nối tiếp theo đúng thứ tự trên. Gọi M là điểm nối giữa cuộn dây và tụ điện. Vôn kế có điện trở vô cùng lớn mắc giữa A và M. Điện áp ở hai đầu mạch AB là
. Biết 2LCω2 = 1. Số chỉ của vôn kế bằng
Đáp án đúng là: D
Quảng cáo
Đáp án cần chọn là: D
>> 2K8 Chú ý! Lộ Trình Sun 2026 - 3IN1 - 1 lộ trình ôn 3 kì thi (Luyện thi 26+ TN THPT, 90+ ĐGNL HN, 900+ ĐGNL HCM, 70+ ĐGTD - Click xem ngay) tại Tuyensinh247.com.Đầy đủ theo 3 đầu sách, Thầy Cô giáo giỏi, luyện thi theo 3 giai đoạn: Nền tảng lớp 12, Luyện thi chuyên sâu, Luyện đề đủ dạng đáp ứng mọi kì thi.
![]() |
![]() |
![]() |
![]() |
![]() |
![]() |
![]() |
![]() |
Hỗ trợ - Hướng dẫn
-
024.7300.7989
-
1800.6947
(Thời gian hỗ trợ từ 7h đến 22h)
Email: lienhe@tuyensinh247.com













