Tổng hợp hoá học hữu cơ
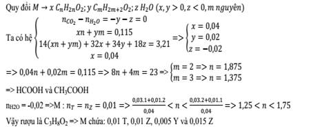
X, Y là hai axit cacboxylic no, đơn chức, mạch hở, đồng đẳng kế tiếp (MX < MY) T là este tạo bởi X, Y với một ancol hai chức Z . Đốt cháy hoàn toàn 3,21g hỗn hợp M gồm X, Y ,Z ,T bằng lượng vừa đủ khí O2, thu được 2,576 lít CO2 (đktc) và 2,07g H2O. Mặt khác 3,21g M phản ứng vừa đủ với 200ml dung dịch KOH 0,2M, đun nóng. Phát biểu nào sau đây là sai?
Đáp án đúng là: D
Quảng cáo
Đáp án cần chọn là: D
>> 2K9 Chú ý! Lộ Trình Sun 2027 - 1 lộ trình ôn đa kỳ thi (TN THPT, ĐGNL (Hà Nội/ Hồ Chí Minh), ĐGNL Sư Phạm, ĐGTD, ĐGNL Bộ Công an, ĐGNL Bộ Quốc phòngTD - Click xem ngay) tại Tuyensinh247.com. Cập nhật bám sát bộ SGK mới, Thầy Cô giáo giỏi, 3 bước chi tiết: Nền tảng lớp 12; Luyện thi chuyên sâu; Luyện đề đủ dạng đáp ứng mọi kì thi.
![]() |
![]() |
![]() |
![]() |
![]() |
![]() |
![]() |
![]() |
Hỗ trợ - Hướng dẫn
-
024.7300.7989
-
1800.6947
(Thời gian hỗ trợ từ 7h đến 22h)
Email: lienhe@tuyensinh247.com













