Thực hiện giao thoa sóng nước với hai nguồn kết hợp A, B giống nhau có tần số 40Hz, cách nhau
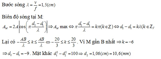
Thực hiện giao thoa sóng nước với hai nguồn kết hợp A, B giống nhau có tần số 40Hz, cách nhau 10cm. Tốc độ truyền sóng trên mặt nước là 0,6m/s. Xét đường thẳng By nằm trên mặt nước và vuông góc với AB. Điểm trên By dao động với biên độ cực đại gần B nhất là
Đáp án đúng là: B
Quảng cáo
Đáp án cần chọn là: B
>> 2K9 Chú ý! Lộ Trình Sun 2027 - 1 lộ trình ôn đa kỳ thi (TN THPT, ĐGNL (Hà Nội/ Hồ Chí Minh), ĐGNL Sư Phạm, ĐGTD, ĐGNL Bộ Công an, ĐGNL Bộ Quốc phòngTD - Click xem ngay) tại Tuyensinh247.com. Cập nhật bám sát bộ SGK mới, Thầy Cô giáo giỏi, 3 bước chi tiết: Nền tảng lớp 12; Luyện thi chuyên sâu; Luyện đề đủ dạng đáp ứng mọi kì thi.
![]() |
![]() |
![]() |
![]() |
![]() |
![]() |
![]() |
![]() |
Hỗ trợ - Hướng dẫn
-
024.7300.7989
-
1800.6947
(Thời gian hỗ trợ từ 7h đến 22h)
Email: lienhe@tuyensinh247.com













