Đặt điện áp xoay chiều u = Uocos ω t (V)vào hai đầu đoạn mạch AB gồm điện trở R, cuộn
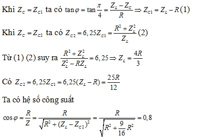
Đặt điện áp xoay chiều u = Uocos ω t (V)vào hai đầu đoạn mạch AB gồm điện trở R, cuộn dây thuần cảm L và tụ C có điện dung thay đổi được mắc nối tiếp. Thay đổi C khi ZC = ZC1 thì cường điện trễ pha
so với điện áp hai đầu đoạn mạch. Khi ZC = ZC2 =6,25ZC1 thì điện áp hiệu dụng giữa hai bản tụ đạt giá trị cực đại. Hệ số công suất của mạch là
Đáp án đúng là: D
Quảng cáo
Đáp án cần chọn là: D
>> 2K9 Chú ý! Lộ Trình Sun 2027 - 1 lộ trình ôn đa kỳ thi (TN THPT, ĐGNL (Hà Nội/ Hồ Chí Minh), ĐGNL Sư Phạm, ĐGTD, ĐGNL Bộ Công an, ĐGNL Bộ Quốc phòngTD - Click xem ngay) tại Tuyensinh247.com. Cập nhật bám sát bộ SGK mới, Thầy Cô giáo giỏi, 3 bước chi tiết: Nền tảng lớp 12; Luyện thi chuyên sâu; Luyện đề đủ dạng đáp ứng mọi kì thi.
![]() |
![]() |
![]() |
![]() |
![]() |
![]() |
![]() |
![]() |
Hỗ trợ - Hướng dẫn
-
024.7300.7989
-
1800.6947
(Thời gian hỗ trợ từ 7h đến 22h)
Email: lienhe@tuyensinh247.com













