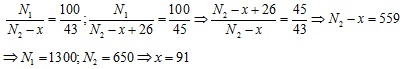
Một thợ điện dân dụng quấn một máy biến áp với dự định hệ số hạ áp là k = 2. Do sơ
Một thợ điện dân dụng quấn một máy biến áp với dự định hệ số hạ áp là k = 2. Do sơ suất nên cuộn thứ cấp bị thiếu một số vòng dây. Muốn xác định số vòng dây thiếu để quấn tiếp thêm vào cuộn thứ cấp cho đủ, người thợ này đặt vào hai đầu cuộn sơ cấp một điện áp xoay chiều có giá trị hiệu dụng U = const rồi dùng vôn kế lí tưởng xác định tỉ số a giữa điện áp ở cuộn thứ cấp để hở và cuộn sơ cấp. Lúc đầu a = 43%, sau khi quấn thêm vào cuộn thứ cấp 26 vòng thì a = 45%. Bỏ qua mọi hao phí trong máy biến áp. Để được máy biến áp đúng như dự định thì người thợ điện phải tiếp tục quấn thêm vào cuộn thứ cấp:
Đáp án đúng là: C
Quảng cáo
Đáp án cần chọn là: C
>> 2K9 Chú ý! Lộ Trình Sun 2027 - 1 lộ trình ôn đa kỳ thi (TN THPT, ĐGNL (Hà Nội/ Hồ Chí Minh), ĐGNL Sư Phạm, ĐGTD, ĐGNL Bộ Công an, ĐGNL Bộ Quốc phòngTD - Click xem ngay) tại Tuyensinh247.com. Cập nhật bám sát bộ SGK mới, Thầy Cô giáo giỏi, 3 bước chi tiết: Nền tảng lớp 12; Luyện thi chuyên sâu; Luyện đề đủ dạng đáp ứng mọi kì thi.
![]() |
![]() |
![]() |
![]() |
![]() |
![]() |
![]() |
![]() |
Hỗ trợ - Hướng dẫn
-
024.7300.7989
-
1800.6947
(Thời gian hỗ trợ từ 7h đến 22h)
Email: lienhe@tuyensinh247.com














