Hai con lắc đơn , có chiều dài dây treo chênh lệch nhau 45 cm, dao dộng điều hòa tại cùng một
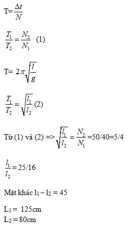
Hai con lắc đơn , có chiều dài dây treo chênh lệch nhau 45 cm, dao dộng điều hòa tại cùng một nơi trên Trái Đất. Trong cùng một khoảng thời gian, con lắc thứ nhất thực hiện được 40 dao động còn con lắc thứ hai thực hiện được 50 dao động. Chiều dài dây treo của các con lắc đó lần lượt là
Đáp án đúng là: A
Quảng cáo
Đáp án cần chọn là: A
>> 2K9 Chú ý! Lộ Trình Sun 2027 - 1 lộ trình ôn đa kỳ thi (TN THPT, ĐGNL (Hà Nội/ Hồ Chí Minh), ĐGNL Sư Phạm, ĐGTD, ĐGNL Bộ Công an, ĐGNL Bộ Quốc phòngTD - Click xem ngay) tại Tuyensinh247.com. Cập nhật bám sát bộ SGK mới, Thầy Cô giáo giỏi, 3 bước chi tiết: Nền tảng lớp 12; Luyện thi chuyên sâu; Luyện đề đủ dạng đáp ứng mọi kì thi.
![]() |
![]() |
![]() |
![]() |
![]() |
![]() |
![]() |
![]() |
Hỗ trợ - Hướng dẫn
-
024.7300.7989
-
1800.6947
(Thời gian hỗ trợ từ 7h đến 22h)
Email: lienhe@tuyensinh247.com













