Đặt điện áp xoay chiều có giá trị hiệu dụng U không đổi, tần số f thay đổi được vào
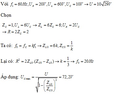
Đặt điện áp xoay chiều có giá trị hiệu dụng U không đổi, tần số f thay đổi được vào hai đầu đoạn mạch gồm điện trở thuần R, cuộn cảm thuần L và tụ điện C mắc nối tiếp. Điều chỉnh f = 60 Hz thì thấy điện áp hiệu dụng giữa hai đầu của các phần tử R, L, C tương ứng là 20 V, 60 V, 10 V. Điều chỉnh f = f0 thì điện áp hiệu dụng giữa hai đầu tụ điện đạt cực đại UCmax. Giá trị của f0 và UCmax lần lượt là
Đáp án đúng là: B
Quảng cáo
Đáp án cần chọn là: B
>> 2K9 Chú ý! Lộ Trình Sun 2027 - 1 lộ trình ôn đa kỳ thi (TN THPT, ĐGNL (Hà Nội/ Hồ Chí Minh), ĐGNL Sư Phạm, ĐGTD, ĐGNL Bộ Công an, ĐGNL Bộ Quốc phòngTD - Click xem ngay) tại Tuyensinh247.com. Cập nhật bám sát bộ SGK mới, Thầy Cô giáo giỏi, 3 bước chi tiết: Nền tảng lớp 12; Luyện thi chuyên sâu; Luyện đề đủ dạng đáp ứng mọi kì thi.
![]() |
![]() |
![]() |
![]() |
![]() |
![]() |
![]() |
![]() |
Hỗ trợ - Hướng dẫn
-
024.7300.7989
-
1800.6947
(Thời gian hỗ trợ từ 7h đến 22h)
Email: lienhe@tuyensinh247.com













