Một con lắc lò xo gồm lò xo có chiều dài tự nhiên l0 = 30 cm. Kích thích cho con lắc dao động
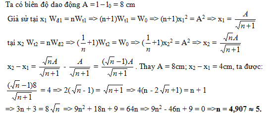
Một con lắc lò xo gồm lò xo có chiều dài tự nhiên l0 = 30 cm. Kích thích cho con lắc dao động điều hòa theo phương nằm ngang thì chiều dài cực đại của lò xo là 38 cm. Khoảng cách ngắn nhất giữa hai thời điểm động năng bằng n lần thế năng và thế năng bằng n lần động năng là 4 cm. Giá trị lớn nhất của n gần với giá trị nào nhất sau đây?
Đáp án đúng là: B
Quảng cáo
Đáp án cần chọn là: B
>> 2K9 Chú ý! Lộ Trình Sun 2027 - 1 lộ trình ôn đa kỳ thi (TN THPT, ĐGNL (Hà Nội/ Hồ Chí Minh), ĐGNL Sư Phạm, ĐGTD, ĐGNL Bộ Công an, ĐGNL Bộ Quốc phòngTD - Click xem ngay) tại Tuyensinh247.com. Cập nhật bám sát bộ SGK mới, Thầy Cô giáo giỏi, 3 bước chi tiết: Nền tảng lớp 12; Luyện thi chuyên sâu; Luyện đề đủ dạng đáp ứng mọi kì thi.
![]() |
![]() |
![]() |
![]() |
![]() |
![]() |
![]() |
![]() |
Hỗ trợ - Hướng dẫn
-
024.7300.7989
-
1800.6947
(Thời gian hỗ trợ từ 7h đến 22h)
Email: lienhe@tuyensinh247.com












