Đặt vào hai đầu đoạn mạch RLC nối tiếp, một điện áp xoay chiều có giá trị hiệu dụng
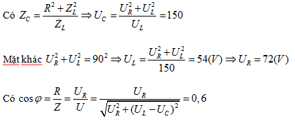
Đặt vào hai đầu đoạn mạch RLC nối tiếp, một điện áp xoay chiều có giá trị hiệu dụng không đổi, có tần số 50Hz. Giá trị của các phần tử R, L không đổi; điện dung của tụ thay đổi được. Điều chỉnh C để điện áp hiệu dụng trên hai đầu tụ đạt giá trị cực đại là 150V thì khi đó điện áp hiệu dụng hai đầu đoạn mạch RL có giá trị bằng 90V. Hệ số công suất của đoạn mạch lúc này là:
Đáp án đúng là: D
Quảng cáo
Đáp án cần chọn là: D
>> 2K9 Chú ý! Lộ Trình Sun 2027 - 1 lộ trình ôn đa kỳ thi (TN THPT, ĐGNL (Hà Nội/ Hồ Chí Minh), ĐGNL Sư Phạm, ĐGTD, ĐGNL Bộ Công an, ĐGNL Bộ Quốc phòngTD - Click xem ngay) tại Tuyensinh247.com. Cập nhật bám sát bộ SGK mới, Thầy Cô giáo giỏi, 3 bước chi tiết: Nền tảng lớp 12; Luyện thi chuyên sâu; Luyện đề đủ dạng đáp ứng mọi kì thi.
![]() |
![]() |
![]() |
![]() |
![]() |
![]() |
![]() |
![]() |
Hỗ trợ - Hướng dẫn
-
024.7300.7989
-
1800.6947
(Thời gian hỗ trợ từ 7h đến 22h)
Email: lienhe@tuyensinh247.com












