Một học sinh làm thí nghiệm đo chu kỳ dao động của con lắc đơn bằng cách dùng đồng hồ
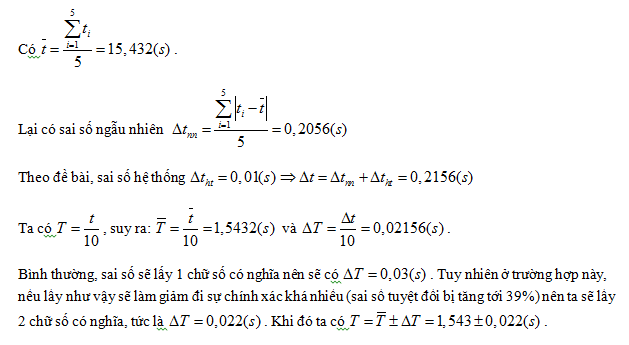
Một học sinh làm thí nghiệm đo chu kỳ dao động của con lắc đơn bằng cách dùng đồng hồ bấm giây. Em học sinh đó dùng đồng hồ bấm giây đo 5 lần thời gian 10 đao động toàn phần được kết quả lần lượt là 15,45s; 15,10s; 15,86s; 15,25s; 15,50s. Coi sai số dụng cụ là 0,01. Kết quả đo chu kỳ dao động được viết là
Đáp án đúng là: B
Quảng cáo
Đáp án cần chọn là: B
>> 2K9 Chú ý! Lộ Trình Sun 2027 - 1 lộ trình ôn đa kỳ thi (TN THPT, ĐGNL (Hà Nội/ Hồ Chí Minh), ĐGNL Sư Phạm, ĐGTD, ĐGNL Bộ Công an, ĐGNL Bộ Quốc phòngTD - Click xem ngay) tại Tuyensinh247.com. Cập nhật bám sát bộ SGK mới, Thầy Cô giáo giỏi, 3 bước chi tiết: Nền tảng lớp 12; Luyện thi chuyên sâu; Luyện đề đủ dạng đáp ứng mọi kì thi.
![]() |
![]() |
![]() |
![]() |
![]() |
![]() |
![]() |
![]() |
Hỗ trợ - Hướng dẫn
-
024.7300.7989
-
1800.6947
(Thời gian hỗ trợ từ 7h đến 22h)
Email: lienhe@tuyensinh247.com












