Ở một loài động vật, khi cho con đực (XY) có mắt trắng giao phối với con cái mắt đỏ
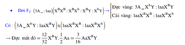
Ở một loài động vật, khi cho con đực (XY) có mắt trắng giao phối với con cái mắt đỏ được F1 đồng loạt mắt đỏ. Cho các cá thể F1 giao phối tự do, đời F2 thu được: 18,75% con đực mắt đỏ: 25% con đực mắt vàng: 6,25% con đực mắt trắng: 37,5% con cái mắt đỏ: 12,5% con cái mắt vàng. Nếu cho các con đực và con cái mắt vàng ở F2 giao phối với nhau thì theo lý thuyết, tỉ lệ các con đực mắt đỏ thu được ở đời con là bao nhiêu?
Đáp án đúng là: D
Quảng cáo
Đáp án cần chọn là: D
>> 2K9 Chú ý! Lộ Trình Sun 2027 - 1 lộ trình ôn đa kỳ thi (TN THPT, ĐGNL (Hà Nội/ Hồ Chí Minh), ĐGNL Sư Phạm, ĐGTD, ĐGNL Bộ Công an, ĐGNL Bộ Quốc phòngTD - Click xem ngay) tại Tuyensinh247.com. Cập nhật bám sát bộ SGK mới, Thầy Cô giáo giỏi, 3 bước chi tiết: Nền tảng lớp 12; Luyện thi chuyên sâu; Luyện đề đủ dạng đáp ứng mọi kì thi.
![]() |
![]() |
![]() |
![]() |
![]() |
![]() |
![]() |
![]() |
Hỗ trợ - Hướng dẫn
-
024.7300.7989
-
1800.6947
(Thời gian hỗ trợ từ 7h đến 22h)
Email: lienhe@tuyensinh247.com














