Tổng hợp hoá học hữu cơ
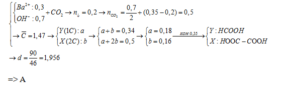
X; Y là 2 hợp chất hữu cơ, mạch hở hơn kém nhau một nguyên tử cacbon, thành phần chỉ gồm C, H, O. MX > MY. Đốt cháy hoàn toàn 0,34 mol hỗn hợp Q gồm X và Y rồi cho sản phẩm cháy hấp thụ hết vào dung dịch chứa 0,3 mol Ba(OH)2 và 0,1 mol KOH sau hấp thụ thu được 39,4 gam kết tủa. Nếu cho 0,34 mol hỗn hợp Q vào dung dịch chứa 0,35 mol KOH đến phản ứng hoàn toàn, thu được dung dịch không còn bazơ. Tỷ khối của X so với Y nhận giá trị nào sau đây ?
Đáp án đúng là: A
Quảng cáo
Đáp án cần chọn là: A
>> 2K8 Chú ý! Lộ Trình Sun 2026 - 3IN1 - 1 lộ trình ôn 3 kì thi (Luyện thi 26+ TN THPT, 90+ ĐGNL HN, 900+ ĐGNL HCM, 70+ ĐGTD - Click xem ngay) tại Tuyensinh247.com.Đầy đủ theo 3 đầu sách, Thầy Cô giáo giỏi, luyện thi theo 3 giai đoạn: Nền tảng lớp 12, Luyện thi chuyên sâu, Luyện đề đủ dạng đáp ứng mọi kì thi.
![]() |
![]() |
![]() |
![]() |
![]() |
![]() |
![]() |
![]() |
Hỗ trợ - Hướng dẫn
-
024.7300.7989
-
1800.6947
(Thời gian hỗ trợ từ 7h đến 22h)
Email: lienhe@tuyensinh247.com













