Đặt điện áp xoay chiều có giá trị hiệu dụng và tần số không đổi, vào hai đầu đoạn
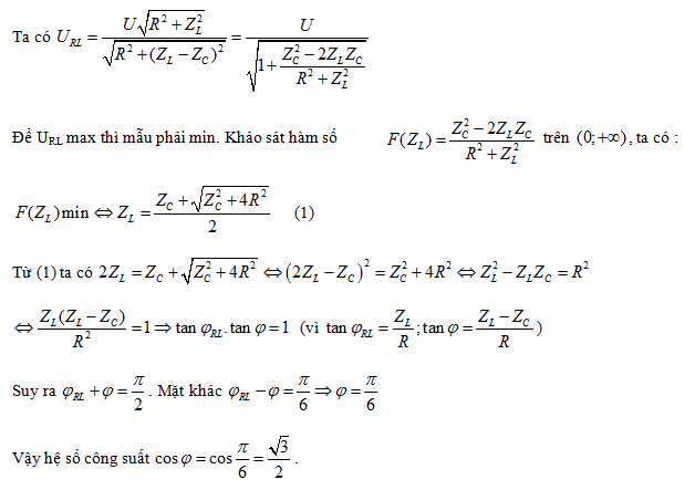
Đặt điện áp xoay chiều có giá trị hiệu dụng và tần số không đổi, vào hai đầu đoạn mạch AB gồm điện trở thuần R, cuộn cảm thuần có độ tự cảm L (có thể thay đổi) và tụ điện có điện dung C mắc nối tiếp. Điều chỉnh L để điện áp hiệu dụng ở hai đầu đoạn mạch RL đạt cực đại, khi đó điện áp uRL nhanh pha hơn điện áp ở hai đầu đoạn mạch một góc π/6. Hệ số công suất của đoạn mạch AB khi đó là bao nhiêu?
Đáp án đúng là: D
Quảng cáo
Đáp án cần chọn là: D
>> 2K9 Chú ý! Lộ Trình Sun 2027 - 1 lộ trình ôn đa kỳ thi (TN THPT, ĐGNL (Hà Nội/ Hồ Chí Minh), ĐGNL Sư Phạm, ĐGTD, ĐGNL Bộ Công an, ĐGNL Bộ Quốc phòngTD - Click xem ngay) tại Tuyensinh247.com. Cập nhật bám sát bộ SGK mới, Thầy Cô giáo giỏi, 3 bước chi tiết: Nền tảng lớp 12; Luyện thi chuyên sâu; Luyện đề đủ dạng đáp ứng mọi kì thi.
![]() |
![]() |
![]() |
![]() |
![]() |
![]() |
![]() |
![]() |
Hỗ trợ - Hướng dẫn
-
024.7300.7989
-
1800.6947
(Thời gian hỗ trợ từ 7h đến 22h)
Email: lienhe@tuyensinh247.com












