Ruồi giấm có bộ nhiễm sắc thể 2n = 8. Trên mỗi cặp nhiễm sắc thể thường xét hai cặp gen
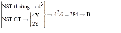
Ruồi giấm có bộ nhiễm sắc thể 2n = 8. Trên mỗi cặp nhiễm sắc thể thường xét hai cặp gen dị hợp. Trên cặp nhiễm sắc thể giới tính xét hai gen, mỗi gen có 2 alen. Gen thứ nhất nằm ở vùng tương đồng X và Y, gen thứ hai nằm trên vùng không tương đồng của X. Nếu không xảy ra đột biến thì khi các ruồi đực có kiểu gen khác nhau về các gen đang xét giảm phân có thể tạo ra tối đa bao nhiêu loại tinh trùng?
Đáp án đúng là: B
Quảng cáo
Đáp án cần chọn là: B
>> 2K9 Chú ý! Lộ Trình Sun 2027 - 1 lộ trình ôn đa kỳ thi (TN THPT, ĐGNL (Hà Nội/ Hồ Chí Minh), ĐGNL Sư Phạm, ĐGTD, ĐGNL Bộ Công an, ĐGNL Bộ Quốc phòngTD - Click xem ngay) tại Tuyensinh247.com. Cập nhật bám sát bộ SGK mới, Thầy Cô giáo giỏi, 3 bước chi tiết: Nền tảng lớp 12; Luyện thi chuyên sâu; Luyện đề đủ dạng đáp ứng mọi kì thi.
![]() |
![]() |
![]() |
![]() |
![]() |
![]() |
![]() |
![]() |
Hỗ trợ - Hướng dẫn
-
024.7300.7989
-
1800.6947
(Thời gian hỗ trợ từ 7h đến 22h)
Email: lienhe@tuyensinh247.com













