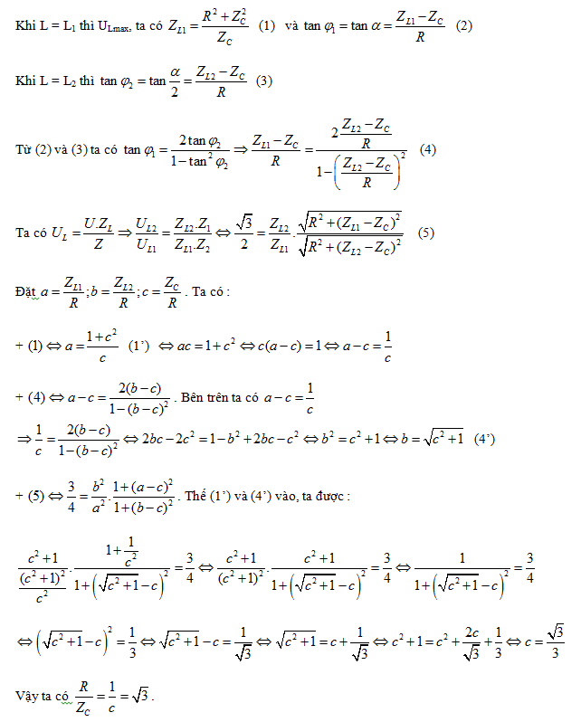
Đặt điện áp u =U cosωt(V ) (U và ω không đổi) vào hai đầu đoạn mạch mắc nối tiếp gồm
Đặt điện áp u =U
cosωt(V ) (U và ω không đổi) vào hai đầu đoạn mạch mắc nối tiếp gồm điện trở R, tụ điện có điện dung C, cuộn cảm thuần có độ tự cảm L thay đổi được. Khi L=L1 điện áp hiệu dụng ở hai đầu cuộn cảm có giá trị cực đại
và điện áp ở hai đầu đoạn mạch sớm pha hơn dòng điện trong mạch là
(0 <
<
/2). Khi L= L2 điện áp hiệu dụng ở hai đầu cuộn cảm có giá trị
và điện áp hai đầu đoạn mạch sớm pha so với cường độ dòng điện là 0,5α. Tỉ số giữa điện trở và dung kháng là:
Đáp án đúng là: A
Quảng cáo
Đáp án cần chọn là: A
>> 2K9 Chú ý! Lộ Trình Sun 2027 - 1 lộ trình ôn đa kỳ thi (TN THPT, ĐGNL (Hà Nội/ Hồ Chí Minh), ĐGNL Sư Phạm, ĐGTD, ĐGNL Bộ Công an, ĐGNL Bộ Quốc phòngTD - Click xem ngay) tại Tuyensinh247.com. Cập nhật bám sát bộ SGK mới, Thầy Cô giáo giỏi, 3 bước chi tiết: Nền tảng lớp 12; Luyện thi chuyên sâu; Luyện đề đủ dạng đáp ứng mọi kì thi.
![]() |
![]() |
![]() |
![]() |
![]() |
![]() |
![]() |
![]() |
Hỗ trợ - Hướng dẫn
-
024.7300.7989
-
1800.6947
(Thời gian hỗ trợ từ 7h đến 22h)
Email: lienhe@tuyensinh247.com













