Cho đoạn mạch điện xoay chiều RLC mắc nối tiếp (L là cuộn cảm thuần). Đặt vào hai đầu
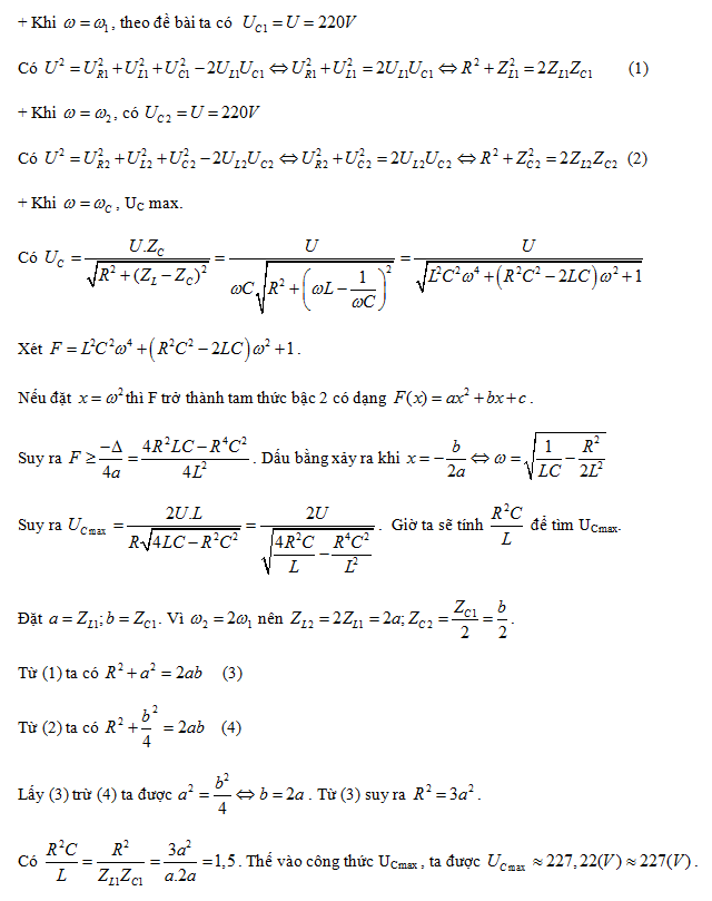
Cho đoạn mạch điện xoay chiều RLC mắc nối tiếp (L là cuộn cảm thuần). Đặt vào hai đầu đoạn mạch điện áp xoay chiều u = 220
cos(ωt)V, trong đó tần số góc ω thay đổi được. Điều chỉnh giá trị của ω thì nhận thấy, khi ω = ω1 thì điện áp hiệu dụng giữa hai đầu tụ điện là 220 V, khi ω = 2ω1 thì điện áp hiệu dụng giữa hai đầu cuộn cảm là 220V. Khi ω = ωC thì điện áp hiệu dụng giữa hai đầu tụ điện đạt giá trị cực đại. Hỏi giá trị cực đại đó gần nhất với giá trị nào sau đây?
Đáp án đúng là: B
Quảng cáo
Đáp án cần chọn là: B
>> 2K9 Chú ý! Lộ Trình Sun 2027 - 1 lộ trình ôn đa kỳ thi (TN THPT, ĐGNL (Hà Nội/ Hồ Chí Minh), ĐGNL Sư Phạm, ĐGTD, ĐGNL Bộ Công an, ĐGNL Bộ Quốc phòngTD - Click xem ngay) tại Tuyensinh247.com. Cập nhật bám sát bộ SGK mới, Thầy Cô giáo giỏi, 3 bước chi tiết: Nền tảng lớp 12; Luyện thi chuyên sâu; Luyện đề đủ dạng đáp ứng mọi kì thi.
![]() |
![]() |
![]() |
![]() |
![]() |
![]() |
![]() |
![]() |
Hỗ trợ - Hướng dẫn
-
024.7300.7989
-
1800.6947
(Thời gian hỗ trợ từ 7h đến 22h)
Email: lienhe@tuyensinh247.com













