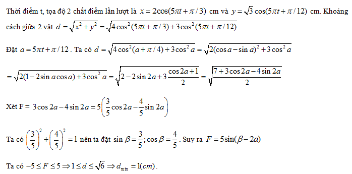
Hai chất điểm dao động điều hoà trên hai trục tọa độ Ox và Oy vuông góc với nhau. Biết
Hai chất điểm dao động điều hoà trên hai trục tọa độ Ox và Oy vuông góc với nhau. Biết phương trình dao động của hai chất điểm lần lượt là: x = 2cos(5πt +π/3) cm và y =
cos(5πt +π/12) cm. Trong quá trình dao động khoảng cách nhỏ nhất giữa hai vật là:
Đáp án đúng là: A
Quảng cáo
Đáp án cần chọn là: A
>> 2K9 Chú ý! Lộ Trình Sun 2027 - 1 lộ trình ôn đa kỳ thi (TN THPT, ĐGNL (Hà Nội/ Hồ Chí Minh), ĐGNL Sư Phạm, ĐGTD, ĐGNL Bộ Công an, ĐGNL Bộ Quốc phòngTD - Click xem ngay) tại Tuyensinh247.com. Cập nhật bám sát bộ SGK mới, Thầy Cô giáo giỏi, 3 bước chi tiết: Nền tảng lớp 12; Luyện thi chuyên sâu; Luyện đề đủ dạng đáp ứng mọi kì thi.
![]() |
![]() |
![]() |
![]() |
![]() |
![]() |
![]() |
![]() |
Hỗ trợ - Hướng dẫn
-
024.7300.7989
-
1800.6947
(Thời gian hỗ trợ từ 7h đến 22h)
Email: lienhe@tuyensinh247.com












