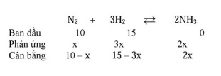
Trộn 10 lít N2 với 15 lít H2 cho vào bình phản ứng. Sau khi phản ứng đạt cân bằng thấy bình
Trộn 10 lít N2 với 15 lít H2 cho vào bình phản ứng. Sau khi phản ứng đạt cân bằng thấy bình phản ứng có 22 lít hỗn hợp các khí. Các khí đo ở cùng điều kiện nhiệt độ và áp suất. Hiệu suất phản ứng là:
Đáp án đúng là: A
Quảng cáo
Đáp án cần chọn là: A
>> 2K9 Chú ý! Lộ Trình Sun 2027 - 1 lộ trình ôn đa kỳ thi (TN THPT, ĐGNL (Hà Nội/ Hồ Chí Minh), ĐGNL Sư Phạm, ĐGTD, ĐGNL Bộ Công an, ĐGNL Bộ Quốc phòngTD - Click xem ngay) tại Tuyensinh247.com. Cập nhật bám sát bộ SGK mới, Thầy Cô giáo giỏi, 3 bước chi tiết: Nền tảng lớp 12; Luyện thi chuyên sâu; Luyện đề đủ dạng đáp ứng mọi kì thi.
![]() |
![]() |
![]() |
![]() |
![]() |
![]() |
![]() |
![]() |
Hỗ trợ - Hướng dẫn
-
024.7300.7989
-
1800.6947
(Thời gian hỗ trợ từ 7h đến 22h)
Email: lienhe@tuyensinh247.com













