Cho hình chóp S.ABCD có đáy ABC là tam giác vuông tại A, AB = a, BC = 2a. Mặt bên SBC là tam giác cân
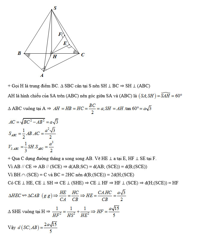
Cho hình chóp S.ABCD có đáy ABC là tam giác vuông tại A, AB = a, BC = 2a. Mặt bên SBC là tam giác cân tại S và mặt phẳng (SBC) vuông góc với mặt phẳng (ABC), góc giữa SA và mặt phẳng (ABC) bằng 600. Tính thể tích khối chóp S.ABC và khoảng cách giữa hai đường thẳng SC và AB theo a.
Đáp án đúng là: D
Quảng cáo
Đáp án cần chọn là: D
>> 2K9 Chú ý! Lộ Trình Sun 2027 - 1 lộ trình ôn đa kỳ thi (TN THPT, ĐGNL (Hà Nội/ Hồ Chí Minh), ĐGNL Sư Phạm, ĐGTD, ĐGNL Bộ Công an, ĐGNL Bộ Quốc phòngTD - Click xem ngay) tại Tuyensinh247.com. Cập nhật bám sát bộ SGK mới, Thầy Cô giáo giỏi, 3 bước chi tiết: Nền tảng lớp 12; Luyện thi chuyên sâu; Luyện đề đủ dạng đáp ứng mọi kì thi.
![]() |
![]() |
![]() |
![]() |
![]() |
![]() |
![]() |
![]() |
Hỗ trợ - Hướng dẫn
-
024.7300.7989
-
1800.6947
(Thời gian hỗ trợ từ 7h đến 22h)
Email: lienhe@tuyensinh247.com













