Một con lắc lò xo nằm ngang gồm vật M có khối lượng 400 g và lò xo có độ cứng là 40 N/m đang
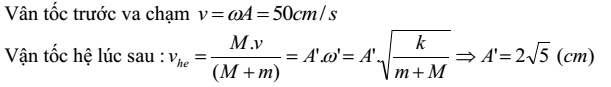
Một con lắc lò xo nằm ngang gồm vật M có khối lượng 400 g và lò xo có độ cứng là 40 N/m đang dao động điều hòa trên mặt phẳng ngang nhẵn với biên độ 5cm. Đúng lúc M qua vị trí cân bằng người ta dùng vật m có khối lượng 100g bay với vận tốc 50 cm/s theo phương thẳng đứng hướng xuống bắn vào M và dính chặt ngay vào M. Sau đó M dao động với biên độ:
Đáp án đúng là: D
Quảng cáo
Đáp án cần chọn là: D
>> 2K9 Chú ý! Lộ Trình Sun 2027 - 1 lộ trình ôn đa kỳ thi (TN THPT, ĐGNL (Hà Nội/ Hồ Chí Minh), ĐGNL Sư Phạm, ĐGTD, ĐGNL Bộ Công an, ĐGNL Bộ Quốc phòngTD - Click xem ngay) tại Tuyensinh247.com. Cập nhật bám sát bộ SGK mới, Thầy Cô giáo giỏi, 3 bước chi tiết: Nền tảng lớp 12; Luyện thi chuyên sâu; Luyện đề đủ dạng đáp ứng mọi kì thi.
![]() |
![]() |
![]() |
![]() |
![]() |
![]() |
![]() |
![]() |
Hỗ trợ - Hướng dẫn
-
024.7300.7989
-
1800.6947
(Thời gian hỗ trợ từ 7h đến 22h)
Email: lienhe@tuyensinh247.com













