Quả cầu kim loại của con lắc đơn có khối lượng m = 200g, tích điên q = 10-7C. Quả cầu được
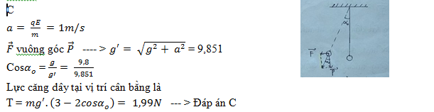
Quả cầu kim loại của con lắc đơn có khối lượng m = 200g, tích điên q = 10-7C. Quả cầu được treo bằng một sợi dây mảnh, không dãn, cách điện, có chiều dài l tại nơi có gia tốc trọng trường g = 9,8m/s2. Đặt hệ trong một điện trường đều, nằm ngang có cường độ E = 2.106 V/m. Ban đầu người ta giữ quả cầu để sợi dây có phương thẳng đứng, vuông gốc với phương của điện trường rồi buông nhẹ với vận tốc ban đầu bằng 0. Lực căng của dây khi quả cầu qua vị trí cân bằng mới là:
Đáp án đúng là: C
Quảng cáo
Đáp án cần chọn là: C
>> 2K9 Chú ý! Lộ Trình Sun 2027 - 1 lộ trình ôn đa kỳ thi (TN THPT, ĐGNL (Hà Nội/ Hồ Chí Minh), ĐGNL Sư Phạm, ĐGTD, ĐGNL Bộ Công an, ĐGNL Bộ Quốc phòngTD - Click xem ngay) tại Tuyensinh247.com. Cập nhật bám sát bộ SGK mới, Thầy Cô giáo giỏi, 3 bước chi tiết: Nền tảng lớp 12; Luyện thi chuyên sâu; Luyện đề đủ dạng đáp ứng mọi kì thi.
![]() |
![]() |
![]() |
![]() |
![]() |
![]() |
![]() |
![]() |
Hỗ trợ - Hướng dẫn
-
024.7300.7989
-
1800.6947
(Thời gian hỗ trợ từ 7h đến 22h)
Email: lienhe@tuyensinh247.com













