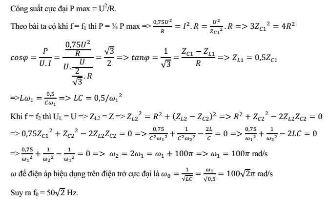
Cho mạch điện RLC mắc nối tiếp, cuộn dây thuần cảm. Đặt vào hai đầu đoạn mạch điện áp
Cho mạch điện RLC mắc nối tiếp, cuộn dây thuần cảm. Đặt vào hai đầu đoạn mạch điện áp xoay chiều u = U
cos 2
ft, trong đóng U có giá trị không đổi, f có thể thay đổi được. Khi f = f1 thì điện áp hiệu dụng trên tụ có giá trị bằng U, mạch tiêu thụ công suất bằng công suất cực đại. Khi tần số của dòng điện là f2 = f1 + 50Hz thì điện áp hiệu dụng trên cuộn cảm có giá trị bằng U. Tần số dòng điện khi điện áp hiệu dụng trên điện trở R đạt cực đại là
Đáp án đúng là: A
Quảng cáo
Đáp án cần chọn là: A
>> 2K9 Chú ý! Lộ Trình Sun 2027 - 1 lộ trình ôn đa kỳ thi (TN THPT, ĐGNL (Hà Nội/ Hồ Chí Minh), ĐGNL Sư Phạm, ĐGTD, ĐGNL Bộ Công an, ĐGNL Bộ Quốc phòngTD - Click xem ngay) tại Tuyensinh247.com. Cập nhật bám sát bộ SGK mới, Thầy Cô giáo giỏi, 3 bước chi tiết: Nền tảng lớp 12; Luyện thi chuyên sâu; Luyện đề đủ dạng đáp ứng mọi kì thi.
![]() |
![]() |
![]() |
![]() |
![]() |
![]() |
![]() |
![]() |
Hỗ trợ - Hướng dẫn
-
024.7300.7989
-
1800.6947
(Thời gian hỗ trợ từ 7h đến 22h)
Email: lienhe@tuyensinh247.com













