Cho sợi dây có một đầu cố định, một đầu gắn với một nguồn tạo sóng trên trên dây có
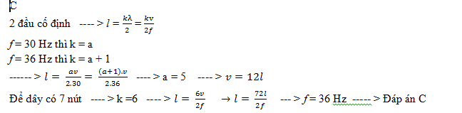
Cho sợi dây có một đầu cố định, một đầu gắn với một nguồn tạo sóng trên trên dây có tần số thay đổi được. Tần số 30Hz và 36 Hz là hai giá trị gần nhau nhất tạo sóng dừng trên dây. Để trên dây có 7 nút sóng (kể cả hai đầu) thì tần số phải là;.
Đáp án đúng là: C
Quảng cáo
Đáp án cần chọn là: C
>> 2K9 Chú ý! Lộ Trình Sun 2027 - 1 lộ trình ôn đa kỳ thi (TN THPT, ĐGNL (Hà Nội/ Hồ Chí Minh), ĐGNL Sư Phạm, ĐGTD, ĐGNL Bộ Công an, ĐGNL Bộ Quốc phòngTD - Click xem ngay) tại Tuyensinh247.com. Cập nhật bám sát bộ SGK mới, Thầy Cô giáo giỏi, 3 bước chi tiết: Nền tảng lớp 12; Luyện thi chuyên sâu; Luyện đề đủ dạng đáp ứng mọi kì thi.
![]() |
![]() |
![]() |
![]() |
![]() |
![]() |
![]() |
![]() |
Hỗ trợ - Hướng dẫn
-
024.7300.7989
-
1800.6947
(Thời gian hỗ trợ từ 7h đến 22h)
Email: lienhe@tuyensinh247.com













