Một con lắc lò xo có khối lượng vật nhỏ là 50 g. Con lắc dao động điều hòa theo một trục
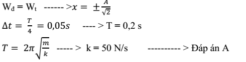
Một con lắc lò xo có khối lượng vật nhỏ là 50 g. Con lắc dao động điều hòa theo một trục cố định nằm ngang với phương trình x = Acosωt. Cứ sau những khoảng thời gian 0,05 s thì động năng và thế năng của vật lại bằng nhau. Lấy π2 =10. Lò xo của con lắc có độ cứng bằng:
Đáp án đúng là: A
Quảng cáo
Đáp án cần chọn là: A
>> 2K9 Chú ý! Lộ Trình Sun 2027 - 1 lộ trình ôn đa kỳ thi (TN THPT, ĐGNL (Hà Nội/ Hồ Chí Minh), ĐGNL Sư Phạm, ĐGTD, ĐGNL Bộ Công an, ĐGNL Bộ Quốc phòngTD - Click xem ngay) tại Tuyensinh247.com. Cập nhật bám sát bộ SGK mới, Thầy Cô giáo giỏi, 3 bước chi tiết: Nền tảng lớp 12; Luyện thi chuyên sâu; Luyện đề đủ dạng đáp ứng mọi kì thi.
![]() |
![]() |
![]() |
![]() |
![]() |
![]() |
![]() |
![]() |
Hỗ trợ - Hướng dẫn
-
024.7300.7989
-
1800.6947
(Thời gian hỗ trợ từ 7h đến 22h)
Email: lienhe@tuyensinh247.com













